Acid Violet 7B
Title: Acid Violet 7B
CAS Registry Number: 5905-34-0
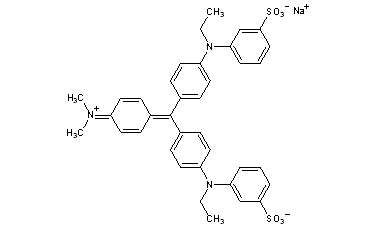
CAS Name: N-[4-[Bis[4-[ethyl(3-sulfophenyl)amino]phenyl]methylene]-2,5-cyclohexadien-1-ylidene]-N-methylmethanaminium inner salt, sodium salt
Additional Names: C.I. Acid Violet 25; C.I. 42745
Molecular Formula: C37H36N3NaO6S2
Molecular Weight: 705.82
Percent Composition: C 62.96%, H 5.14%, N 5.95%, Na 3.26%, O 13.60%, S 9.09%
Literature References: Prepd by sulfonation of the condensation product from p-dimethylaminobenzoyl chloride with N-ethyldiphenylamine: Müller, DE 34463; Frdl. 1, 88; US 353266; Turnbull, Evans, US 1402195. See also: Colour Index vol. 4 (3rd ed., 1971) p 4401.
Properties: Violet powder. Sol in water, alcohol with deep blue color and violet tinge. Insol in ether. Absorption max (water): 607.5 nm.
Absorption maximum: Absorption max (water): 607.5 nm
Use: As dye; in inks and stains.
 
 
Status: This monograph has been retired and is no longer subject to revision or update.

Others monographs:
D-RiboseBINOLTremacamraAmmonium Phosphate, Monobasic
StigmasterolDenopterinIsoflupredoneEthohexadiol
Aluminum Cesium SulfateSulfamethylthiazoleMethyl Silicone ResinsDiscodermolide
PyrithyldioneButylmethylimidazoliumDichlorphenamideParasorbic Acid
©2016 DrugLead US FDA&EMEA