Apramycin
Title: Apramycin
CAS Registry Number: 37321-09-8
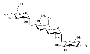
CAS Name: O-4-Amino-4-deoxy-a-D-glucopyranosyl-(1®8)-O-(8R)-2-amino-2,3,7-trideoxy-7-(methylamino)-D-glycero-a-D-allo-octodialdo-1,5:8,4-dipyranosyl-(1®4)-2-deoxy-D-streptamine
Additional Names: 4-O-[3a-amino-6a-[(4-amino-4-deoxy-a-D-glucopyranosyl)oxy]-2,3,4,4ab,6,7,8aa-octahydro-8b-hydroxy-7b-(methylamino)pyranopyrano[3,2-b]pyran-2a-yl]-2-deoxy-D-streptamine; nebramycin factor 2
Manufacturers' Codes: EL-857; EL-857/820; 47657
Trademarks: Apralan (Elanco)
Molecular Formula: C21H41N5O11
Molecular Weight: 539.58
Percent Composition: C 46.74%, H 7.66%, N 12.98%, O 32.62%
Literature References: Broad spectrum aminocyclitol antibiotic and component of the nebramycin complex, produced by a strain of Streptomyces tenebrarius: R. Q. Thompson, E. A. Presti, Antimicrob. Agents Chemother. 1967, 332; W. M. Stark, US 3691279 (1972 to Lilly). Structure, abs config and properties: S. O'Connor et al., J. Org. Chem. 41, 2087 (1976). 13C-NMR: E. Wenkert, E. W. Hagaman, ibid. 701. In vitro activity: R. Ryden et al., J. Antimicrob. Chemother. 3, 609 (1977). Synthetic studies: H. C. Jarrell, W. A. Szarek, Carbohydr. Res. 67, 43 (1978); eidem, Can. J. Chem. 56, 144 (1978); 57, 924 (1979). See also tobramycin.
 
Derivative Type: Monohydrate
Properties: From aqueous ethanol, mp 245-247°. pKa (H2O): 8.5, 7.8, 7.2, 6.2, 5.4. Very soluble in water; slightly sol in lower alcohols.
Melting point: mp 245-247°
pKa: pKa (H2O): 8.5, 7.8, 7.2, 6.2, 5.4
 
Therap-Cat-Vet: Antibacterial.

Others monographs:
LamininZalcitabineChlorotrianiseneMercuric Iodide, Red
Dihydroxyaluminum Sodium CarbonatePiritramide5-Nitrosalicylic AcidFerric Acetate, Basic
2,3-Diaminopropionic AcidTriamcinolone AcetonideNitrophenidePicrotin
Methyl OxalateTaltirelinMercuric Oxide, YellowElcatonin
©2016 DrugLead US FDA&EMEA