Astacin
Title: Astacin
CAS Registry Number: 514-76-1
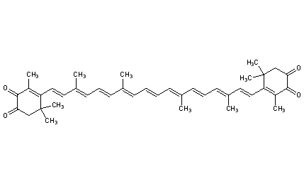
CAS Name: b,b-Carotene-3,3¢,4,4¢-tetrone
Additional Names: 3,4,3¢,4¢-tetraketo-b-carotene; 3,3¢-dihydroxy-2,3,2¢,3¢-tetradehydro-b,b-carotene-4,4¢-dione; astacene
Molecular Formula: C40H48O4
Molecular Weight: 592.81
Percent Composition: C 81.04%, H 8.16%, O 10.80%
Literature References: Red carotenoid pigment isolated from biological material originating from crustacea, algae, sponges, protozoa, fish and reptiles. Small amounts were isolated from the fat of mammals (whales, Balaenoptera musculus). Occurs together with astaxanthin from which it is formed by autoxidation. Appears to be an artifact rather than a natural product. Isoln from lobster shells: Kuhn, Lederer, Ber. 66, 488 (1933). Structure: Karrer et al., Helv. Chim. Acta 17, 412, 745 (1934); 18, 96 (1935); 19, 479 (1936). Total synthesis: J. B. Davis, B. C. L. Weedon, Proc. Chem. Soc. London 1960, 182; E. Widmer et al., Helv. Chim. Acta 65, 671 (1982). Prepn by autoxidation of canthaxanthin: R. D. G. Cooper et al., J. Chem. Soc. Perkin Trans. 1 1975, 2195.
Properties: Purple needles or leaflets with metallic luster, sometimes bent into sickle shape, esp when crystallized from pyridine + water, mp 240-243° (slow heating in evac tube, Karrer), mp 228° (Kuhn). Absorption max (pyridine): 500 nm. Practically insol in water; freely sol in chloroform, pyridine, dioxane, carbon disulfide and dil aq alkali; slightly sol in benzene, ethyl acetate, glacial acetic acid; nearly insol in ether, petr ether, methanol.
Melting point: mp 240-243° (slow heating in evac tube, Karrer); mp 228° (Kuhn)
Absorption maximum: Absorption max (pyridine): 500 nm
 
Derivative Type: Diacetate
Molecular Formula: C44H52O6
Molecular Weight: 676.88
Percent Composition: C 78.07%, H 7.74%, O 14.18%
Properties: Black to violet needles from pyridine + water, dec 235°.
 
Derivative Type: Dipalmitate (astacein)
Molecular Formula: C72H108O6
Molecular Weight: 1069.62
Percent Composition: C 80.85%, H 10.18%, O 8.97%
Properties: Almost square red leaflets from petr ether, mp 121°.
Melting point: mp 121°

Others monographs:
Iodoacetic AcidCupric NitrateCiliary Neurotrophic FactorSodium Folate
Mercuric IodateChimonanthineSmilageninAranidipine
Ipratropium BromideIonic LiquidsPropanididAnise Alcohol
Isocrotonic AcidDihydralazineMethallibureBromacil
©2016 DrugLead US FDA&EMEA