Cargutocin
Title: Cargutocin
CAS Registry Number: 33605-67-3
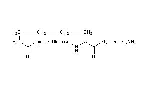
CAS Name: 1-Butanoic acid-7-glycine-1,6-dicarbaoxytocin
Additional Names: 1-butyric acid-6-(L-2-aminobutyric acid)-7-glycineoxytocin; 7-glycine-1,6-aminosuberic acid-oxytocin; [Gly7,Asu1,6]oxytocin
Manufacturers' Codes: Y-5350
Trademarks: Statocin (Yoshitomi)
Molecular Formula: C42H65N11O12
Molecular Weight: 916.03
Percent Composition: C 55.07%, H 7.15%, N 16.82%, O 20.96%
Literature References: Analog of oxytocin, q.v. Prepn: S. Sakakibara et al., DE 2056298; eidem, US 3749705 (1971, 1973 both to Yoshitomi). Synthesis and uterotonic activity: T. Yamanaka, S. Sakakibara, Bull. Chem. Soc. Jpn. 47, 1228 (1974). Pharmacological and biochemical properties: T. Oka et al., Jpn. J. Pharmacol. 25, 15 (1975). Comparison with prostaglandin F2a as oxytocic: T. Hashimoto, Iryo 30, 1121 (1976), C.A. 87, 554e (1977). Distribution, metabolism, excretion: Y. Kato et al., Iyakuhin Kenkyu 12, 433 (1981), C.A. 95, 126386k (1981). Teratogenicity studies: Y. Hamada et al., ibid. 10, 26, 41 (1979), C.A. 91, 639u, 83856m (1979).
Properties: [a]D25 -44.0° (c = 0.55 in water).
Optical Rotation: [a]D25 -44.0° (c = 0.55 in water)
Therap-Cat: Oxytocic.
Keywords: Oxytocic.

Others monographs:
Ricin2-Azetidinecarboxylic AcidMethylenedigallic AcidMethyl Cyanoacrylate
Zinc PerchlorateBisoprololFerrous Carbonate SaccharatedLycodine
SulfacytineLuciferinSumatriptanRupatadine
AphidicolinPyrimethanilOil PalmIopromide
©2016 DrugLead US FDA&EMEA