Echothiophate Iodide
Title: Echothiophate Iodide
CAS Registry Number: 513-10-0
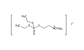
CAS Name: 2-[(Diethoxyphosphinyl)thio]-N,N,N-trimethylethanaminium iodide
Additional Names: (2-mercaptoethyl)trimethylammonium iodide O,O-diethyl phosphorothioate; diethoxyphosphinylthiocholine iodide; 2-diethoxyphosphinylthioethyltrimethylammonium iodide; O,O-diethyl S-(2-trimethylammoniumethyl)phosphorothioate iodide; S-b-dimethylaminoethyl-O,O-diethylthionophosphate methiodide; ecothiopate iodide
Manufacturers' Codes: 217-MI
Trademarks: Phospholine Iodide (Wyeth)
Molecular Formula: C9H23INO3PS
Molecular Weight: 383.23
Percent Composition: C 28.21%, H 6.05%, I 33.11%, N 3.65%, O 12.52%, P 8.08%, S 8.37%
Literature References: Prepn: Tammelin, Acta Chem. Scand. 11, 1340 (1957); Fitch, US 2911430 (1959 to Campbell Pharmaceuticals). Comprehensive description: R. D. Daley, Anal. Profiles Drug Subs. 3, 233-251 (1974).
Properties: Crystals, mp 138° (Tammelin); mp 124-124.5° (Fitch). Sol in water, alcohol, chloroform.
Melting point: mp 138° (Tammelin); mp 124-124.5° (Fitch)
Therap-Cat: Cholinergic (ophthalmic).
Keywords: Cholinergic.

Others monographs:
Calcium Cyanamide CitratedTenofovirα-Aminoisobutyric AcidAclatonium Napadisilate
4-Amino-4'-chlorodiphenylEpitiostanolVeralkamineBenzoin Oxime
TriptorelinNicaravenLexipafantPotassium Tartrate
ButyronitrileHydroxyzineHomochelidonineHaloprogin
©2016 DrugLead US FDA&EMEA