Elaiomycin
Title: Elaiomycin
CAS Registry Number: 23315-05-1
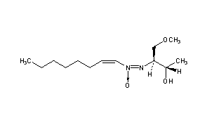
CAS Name: 4-Methoxy-3-(1-octenyl-ONN-azoxy)-2-butanol
Additional Names: (2S,3S)-4-methoxy-3-(1¢-cis-octenyl-cis-azoxy)-2-butanol; D-threo-4-methoxy-3-(1-octenylazoxy)-2-butanol
Molecular Formula: C13H26N2O3
Molecular Weight: 258.36
Percent Composition: C 60.43%, H 10.14%, N 10.84%, O 18.58%
Literature References: Antibiotic substance produced by Streptomyces hepaticus: Haskell et al., Antibiot. Chemother. 4, 141 (1954); Ehrlich et al., ibid. 338; Anderson et al., ibid. 6, 100 (1956). Inhibits the growth of Mycobacterium tuberculosis var. hominis in vitro: Karlson, ibid. 12, 446 (1962). Reported to have carcinogenic activity: Schoental, Nature 221, 765 (1969). Structure: Stevens et al., J. Am. Chem. Soc. 78, 3229 (1956); 80, 6088 (1958). Configuration: Stevens et al., ibid. 81, 1435 (1959); McGahren, Kunstmann, ibid. 92, 1587 (1970). Total synthesis: R. A. Moss, M. Matsuo, ibid. 99, 1643 (1977). Biosynthesis: R. J. Parry et al., ibid. 104, 339 (1982).
Properties: Pale yellow oil. Stable to air. [a]D26 +38.4° (c = 2.8 in abs ethanol). nD25 1.4798. uv max: 237.5 nm (E1%1cm 428). Sparingly sol in water; sol in practically all of the common organic solvents. Stable in neutral or slightly acidic aq solns. Dec into a yellow product when dissolved in 0.1N NaOH.
Optical Rotation: [a]D26 +38.4° (c = 2.8 in abs ethanol)
Index of refraction: nD25 1.4798
Absorption maximum: uv max: 237.5 nm (E1%1cm 428)
 
Derivative Type: Acetate
Molecular Formula: C15H28N2O4
Molecular Weight: 300.39
Percent Composition: C 59.98%, H 9.40%, N 9.33%, O 21.30%
Properties: Oily liquid, bp0.5 84-90°. [a]D27 +25.3° (c = 3 in alc). uv max (alc): 237.5 nm (e 11000).
Boiling point: bp0.5 84-90°
Optical Rotation: [a]D27 +25.3° (c = 3 in alc)
Absorption maximum: uv max (alc): 237.5 nm (e 11000)

Others monographs:
CephaloglycinSelenium TetrabromideAnacardic Acid5-Bromosalicylic Acid Acetate
Methyl LactateChloraminophenamide3'-Cytidylic AcidPlasma (in Physics)
ImiclopazineBenzenesulfonyl ChlorideSilver ChlorideChloral Formamide
EGCGEthamivanEpinephrineCarbophenothion
©2016 DrugLead US FDA&EMEA