Gitoxin
Title: Gitoxin
CAS Registry Number: 4562-36-1
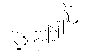
CAS Name: (3b,5b,16b)-3-[(O-2,6-Dideoxy-b-D-ribo-hexopyranosyl-(1®4)-O-2,6-dideoxy-b-D-ribo-hexopyranosyl-(1®4)-2,6-dideoxy-b-D-ribo-hexopyranosyl)oxy]-14,16-dihydroxycard-20(22)-enolide
Additional Names: anhydrogitalin; bigitalin; pseudodigitoxin
Molecular Formula: C41H64O14
Molecular Weight: 780.94
Percent Composition: C 63.06%, H 8.26%, O 28.68%
Literature References: Secondary glycoside mainly from Digitalis purpurea L., also from D. lanata Ehrh., Scrophulariaceae. Byproduct of digitoxin manuf. Isoln: Kraft, Arch. Pharm. 250, 118 (1912); Cloetta, Arch. Exp. Pathol. Pharmakol. 112, 261 (1926); Smith, J. Chem. Soc. 1931, 23. Purification: McChesney et al., J. Am. Pharm. Assoc. 37, 364 (1948). Acid hydrolysis yields 1 mol gitoxigenin + 3 mols digitoxose, q.q.v.: Windaus, Schwarte, Ber. 58, 1515 (1925). See also Satoh, Aoyama, Chem. Pharm. Bull. 18, 94 (1970). Pharmacokinetics in humans: M. Lesne, Int. J. Clin. Pharmacol. Biopharm. 16, 456 (1978). Prepn of pentaacetate: BE 668116; NL 6506250 (1965, 1966 both to VEB Arzneimittelwerk Dresden), C.A. 65, 23366 (1966); 67, 91092d (1967). Toxicity study: Foerster et al., Arch. Int. Pharmacodyn. 155, 165 (1965). Review: R. Megges et al., Pharmazie 32, 665-667 (1977).
Properties: Stout prisms from chloroform + methanol, dec 285° (rapid heating). [a]20546 +3.5° (c = 1.02 in pyridine). Absorption max (98% H2SO4): 315, 415, 495, 530 nm (E1%1cm 275, 185, 430, 505). Almost insol in chloroform, ethyl acetate and acetone. Dissolves in a mixture of chloroform and alcohol or in pyridine or in dil alcohol. Less sol in hot 80% alcohol than digoxin.
Optical Rotation: [a]20546 +3.5° (c = 1.02 in pyridine)
Absorption maximum: Absorption max (98% H2SO4): 315, 415, 495, 530 nm (E1%1cm 275, 185, 430, 505)
 
Derivative Type: a- and b-Acetylgitoxin
Molecular Formula: C43H66O15
Molecular Weight: 822.98
Percent Composition: C 62.75%, H 8.08%, O 29.16%
Properties: Obtained by enzymatic hydrolysis of digilanide B. b-Form: Long, thin, hair-like prisms from dil methanol, dec 220-225°. [a]D20 +15.7° (c = 1.28 in pyridine). Sol in 80-100 parts methanol; sparingly sol in water and ether.
Optical Rotation: [a]D20 +15.7° (c = 1.28 in pyridine)
 
Derivative Type: Pentaacetate
CAS Registry Number: 7242-04-8
Additional Names: Pengitoxin; penta-O-acetylgitoxin
Trademarks: Carnacid-Cor (TAD); Cordoval (Tempelhof); Pentagit (Berlin-Chemie)
Molecular Formula: C51H74O19
Molecular Weight: 991.12
Percent Composition: C 61.80%, H 7.53%, O 30.67%
Literature References: Mass spectral studies: Blessington, Morton, Org. Mass Spectrom. 3, 95 (1970).
Properties: Rhomboid crystals, mp 151-155°. [a]D20 +14.0 ±1.5° (c = 1.6 in pyridine). LD50 in mice (mg/kg): 6.4 i.p.; in rats (mg/kg): 21.0 i.v. (Foerster).
Melting point: mp 151-155°
Optical Rotation: [a]D20 +14.0 ±1.5° (c = 1.6 in pyridine)
Toxicity data: LD50 in mice (mg/kg): 6.4 i.p.; in rats (mg/kg): 21.0 i.v. (Foerster)
 
Therap-Cat: Cardiotonic.
Keywords: Cardiotonic.

Others monographs:
Primisulfuron-methylPropatyl NitrateBenzquinamidePentaerythritol Tetranitrate
4-Pregnene-17α,20β,21-triol-3-oneHCSFomepizoleSuberic Acid
NebularineFerric Acetate, BasicNaftalofosPropanethial S-Oxide
Oil of HyssopPhaseolinHexacyclonate SodiumIfosfamide
©2016 DrugLead US FDA&EMEA