Hexadimethrine Bromide
Title: Hexadimethrine Bromide
CAS Registry Number: 28728-55-4
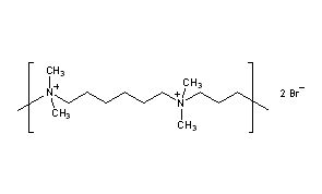
CAS Name: N,N,N¢,N¢-Tetramethyl-1,6-hexanediamine polymer with 1,3-dibromopropane
Additional Names: polymer of N,N,N¢,N¢-tetramethylhexamethylenediamine and trimethylene bromide; poly(N,N,N¢,N¢-tetramethyl-N-trimethylenehexamethylenediammonium dibromide)
Trademarks: Polybrene
Literature References: (C13H30Br2N2)x. Toxicity study: Kimura et al., Toxicol. Appl. Pharmacol. 1, 185 (1959).
Properties: White, hygroscopic, amorphous polymer. Soluble in water up to 10%. pH of 1% saline soln 5-9. Stable in soln and when autoclaved. Polymers with mol wt of 5000-10,000 have LD50 i.v. in mice: 25-40 mg/kg (Kimura).
Toxicity data: Polymers with mol wt of 5000-10,000 have LD50 i.v. in mice: 25-40 mg/kg (Kimura)
Therap-Cat: Heparin antagonist.
Keywords: Heparin Antagonist.

Others monographs:
CiafosLithium ChlorideTurmericOrthoformic Acid
Abietic AcidClonixinMafenidePotassium Phosphate, Monobasic
FenticonazoleHycanthoneArecaidineGranulocyte Colony-Stimulating Factor
Mercurous BromideBenzyl SalicylateTriazoxideTAPS
©2016 DrugLead US FDA&EMEA