Methyl Silicone Resins
Title: Methyl Silicone Resins
Trademarks: Tympanol
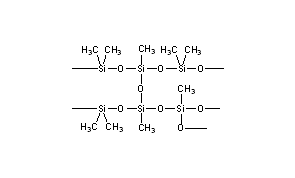
Literature References: Polymeric methyl silicon oxides, probably of a cross-linked siloxane structure: Rochow, Gilliam, J. Am. Chem. Soc. 63, 798 (1941). Prepd by hydrolyzing dimethyldichlorosilane or its esters followed by oxidation with air and a catalyst to the desired CH3/Si ratio: Hyde, DeLong, ibid. 1194; by hydrolysis of dimethyldichlorosilane mixed with methyltrichlorosilane or silicon tetrachloride followed by cocondensation of the products: Rochow, Gilliam, loc. cit.; by partially methylating silicon tetrachloride to the desired CH3/Si ratio and hydrolyzing the reaction mixture: US 2258218 (1941).
Properties: Characterized by excellent thermal stability and good resistance to oxidation. Oxidize slowly in air at 300° to silica. Can be heated to 550° in vacuo or to 500° in hydrogen without dec or melting. CH3/Si = 1.2. Solid. d 1.20. nD20 1.425. Hardens in 2 hours at 100°. CH3/Si = 1.3. Solid. d 1.15. nD20 1.422. Hardens in 1.5 hours at 120°. CH3/Si = 1.4. Solid. d 1.08. nD20 1.421. Hardens in 4 hours at 141°. CH3/Si = 1.5. Solid. d 1.06. nD20 1.418. Hardens in 24 hours at 100°. CH3/Si <1.2. Sticky syrups. Harden at room temp. CH3/Si >1.5. Oily liquids. Set to a soft gel after several days or weeks at 200°.
Index of refraction: nD20 1.425; nD20 1.422; nD20 1.421; nD20 1.418
Density: d 1.20; d 1.15; d 1.08; d 1.06
Use: In electrical insulation; in heat-resistant paints and varnishes; in protective and decorative finishes.

Others monographs:
Grubbs' CatalystChlortetracyclineN-PhenylmaleimideQuillaja
N-Hydroxyethylpromethazine ChlorideIndeneRimazolium MetilsulfateEthyldimethyl-9-octadecenylammonium Bromide
AloxiprinProzapineAlverineTopiramate
Acetyltannic AcidBismuth OxideSalutaridineOxaliplatin
©2016 DrugLead US FDA&EMEA