Rimocidin
Title: Rimocidin
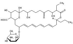
CAS Registry Number: 1393-12-0
Molecular Formula: C39H61NO14
Molecular Weight: 767.90
Percent Composition: C 61.00%, H 8.01%, N 1.82%, O 29.17%
Literature References: Polyene antifungal antibiotic produced by Streptomyces rimosus along with oxytetracycline, q.v. Recovered from fermentation broth by extracting the mycelium with butanol. Isoln and antifungal activity: Davisson et al., Antibiot. Chemother. 1, 289 (1951); Seneca et al., ibid. 2, 435 (1952); Davisson et al., US 2963401 (1960 to Pfizer). Partial structure: Cope et al., J. Am. Chem. Soc. 87, 5452 (1965). Structure: L. Falkowski et al., J. Antibiot. 29, 197 (1976); R. Pandey, K. L. Rinehart, ibid. 30, 146 (1977).
Properties: Dec above 110°. [a]D25 +116° (pyridine). uv max (80% methanol): 279, 291, 304, 318 nm. Slightly sol in water, acetone, lower alcohols. A cryst sodium salt was prepd by reaction with NaOH in methanol.
Optical Rotation: [a]D25 +116° (pyridine)
Absorption maximum: uv max (80% methanol): 279, 291, 304, 318 nm
 
Derivative Type: Sulfate heptahydrate
Properties: Large plates from dil methanol, dec 151°. [a]D25 +75.2° (methanol). Sol in water. LD50 i.v. in mice: 20 mg/kg (Seneca).
Optical Rotation: [a]D25 +75.2° (methanol)
Toxicity data: LD50 i.v. in mice: 20 mg/kg (Seneca)

Others monographs:
Bepridilp-AcetanisidineOndansetronInterleukin-1 Receptor Antagonist
Light Green SF YellowishChloranilic AcidDatura1,2-Ethanedisulfonic Acid
N-(4-Aminobenzoyl)-L-glutamic acidCrilanomerDimethyl SulfoneArginine Glutamate
MephenytoinGougerotinNitrofenGold Stannate
©2016 DrugLead US FDA&EMEA