Streptonicozid
Title: Streptonicozid
CAS Registry Number: 5667-71-0
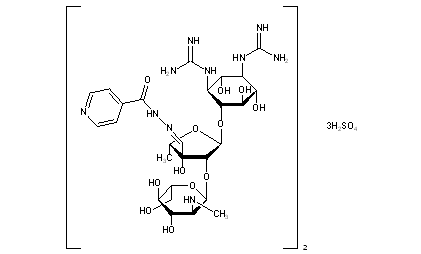
CAS Name: 4-Pyridinecarboxylic acid hydrazide, hydrazone with O-2-deoxy-2-(methylamino)-a-L-glucopyranosyl-(1®2)-O-5-deoxy-3-C-formyl-a-L-lyxofuranosyl-(1®4)-N,N¢-bis(aminoiminomethyl)-D-streptamine sulfate (2:3) (salt)
Additional Names: isonicotinic acid hydrazide, hydrazone with streptomycin, sulfate (salt) (2:3); streptomyclidene isonicotinyl hydrazine sulfate; streptoniazide
Trademarks: Strazide (Luso); Streptohydrazid (Pfizer)
Molecular Formula: C54H94N20O36S3
Molecular Weight: 1695.63
Percent Composition: C 38.25%, H 5.59%, N 16.52%, O 33.97%, S 5.67%
Literature References: Semi-synthetic antibiotic prepd by the condensation of streptomycin salts and isonicotinic acid hydrazide in methanol: Pennington et al., J. Am. Chem. Soc. 75, 2261 (1953).
Properties: Crystals, dec ~230°. Freely sol in water with dissocn in dil solns. Solubilities determined by Weiss et al., Antibiot. Chemother. 7, 374 (1957) in mg/ml at about 28°: water >20; ethanol 0.115; carbon tetrachloride 0.025; ether 0.31.
Therap-Cat: Antibacterial (tuberculostatic).
Keywords: Antibacterial (Tuberculostatic).
 
 
Status: This monograph has been retired and is no longer subject to revision or update.

Others monographs:
Ammonium Ferrous SulfateStannic Chromate(VI)GDNFMagnesium Benzoate
ParaflutizideDimetan®Dihydro-β-erythroidineEthyl Iodide
ProtoanemoninCarnidazoleAtractyloside2-Amino-1-butanol
DichloralphenazoneSparsiflorineAcetolFenpropathrin
©2016 DrugLead US FDA&EMEA